En diferentes establecimientos
comerciales puedes encontrar bolsas de un extraño material, más endeble
que el de toda la vida, y por la cual cobran 5 ó 6 céntimos de euro, con
eslóganes supuestamente ecologistas de lo más variopintos: “échale una
mano al medio ambiente”, “la bolsa verde”, “100% biodegradable”, “bolsa
orgánica”, “biobolsa”, “bolsa ecoamiga”, “bolsa ambientalmente amigable”
y directamente “no uso bolsas plásticas” o “bolsa=caca”. ¿Es cierto todo ésto? Veamos.
¿De qué están hechas estas bolsas biodegradables?
Estas bolsas están fabricadas a partir de almidón y una pequeña proporción de plastificantes (como glicerina o urea).
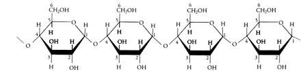
El almidón se encuentra en los
vegetales, y constituye la principal reserva energética de los mismos
(es un carbohidrato). Se trata de una mezcla de polisacáridos (cadena de
azúcares) conformados como gránulos (en el caso del almidón de la
patata), donde la parte exterior presenta un polisacárido llamado
amilopectina (70% del almidón) y en su interior amilosa.
La fracción del almidón más interesante es la de amilosa
(30%), ya que es un polisacárido que no presenta entrecruzamientos y
por tanto es más fácil de procesar y tiene unas características físicas y
químicas que pueden asemejarse a un plástico común.
Amilosa
Amilopectina
El almidón se extrae de
vegetales ricos en este compuesto, como los tubérculos, siendo la patata
el tubérculo más empleado para ello.
La
patata está compuesta en un 75% de agua, un 20% de almidón y un 5% de
grasas, proteínas, minerales y otros azúcares; siendo el almidón el
componente nutricional más interesante (de hecho suele extraerse para ser empleado en otros productos alimenticios bajo el nombre de “fécula de patata”).
Llegados a este punto os habréis dado cuenta de que si extraemos el almidón de una patata, nos quedamos sin la patata. Y
si de este almidón sólo nos interesa el 30% (la amilosa) hemos
destrozado una patata porque nos interesa el 30% de su 20% (almidón), es
decir, sólo el 6% de la patata es la fracción útil para la fabricación de bolsas.
Además de este problema (porque obviamente un rendimiento tan bajo es un problema), el almidón presenta unas características físicas y químicas muy limitadas en comparación con un plástico común:
es muy higroscópico, perdiendo resistencia en presencia de humedad;
tiene elavada viscosidad, por lo que su procesado es costoso; y es un
material en esencia frágil.
Para paliar estos problemas este material es tratado biológica, química y físicamente con diferentes métodos:
fermentación y posterior polimerización para transformarlo en ácido
poliláctico (PLA); esterificación de los grupos hidroxilo para
protegerlo del agua; eliminación de los entrecruzamientos de la
amilopectina residual (que es la responsable de su semicristalinidad, y
por tanto de su fragilidad) por medio de gelatinización,
retrodegradación o desestructuración; y adición de plastificantes
(reactivos que hacen que el almidón pueda moldearse sin quebrar).
Para seguir en la línea de lo
“bio” y lo “eco”, estos plastificantes también son de origen animal o
vegetal, y en su mayoría se extraen de lípidos (grasas animales o
aceites vegetales) ya que el más común es la glicerina, que es un
subproducto de la transesterficación de un lípido.
Parece un proceso costoso ¿verdad? Lo es. Tanto es así que el
coste de producción de una bolsa de fécula de patata (llamada
bioplástico) es diez veces superior al de una bolsa de un plástico común
como el polietileno. De hecho, en venta al por mayor, una bolsa de
polietileno ronda los 0,001 euros, y una de fécula de patata los 0,01
euros.
Será más caro pero ¿es más ecológico?
Entiendo que algo ecológico
(palabra que detesto por el mal uso que se hace de ella) es lo que menor
impacto medioambiental tiene. Efectivamente estas bolsas, una vez
producidas, se biodegradan con facilidad en unos días a la intemperie.
Pero no podemos juzgar todo el proceso por la etapa final. Y aquí está
la clave:
Hay que considerar que sólo el
6% de la patata es empleada para la fabricación de bioplásticos y el
resto de desecha (también es biodegradable), por lo que hay que cultivar
cantidades ingentes de patata para conseguir un rendimiento muy
reducido. Es decir, es imprescindible el uso de cultivos intensivos y
de gran extensión para rentabilizar la producción de bioplásticos. Y
esto recuerda bastante al problema que supone otro “bioproducto” estrella: los biocombustibles, causantes de la brutal deforestación de Borneo:
Todavía no se ha llegado a
extremos ni similares al caso de Borneo, pero si seguimos popularizando
este tipo de alternativas supuestamente ecológicas, estaremos cayendo en
el mismo error.
Realmente somos un animal que
tropieza dos veces con la misma piedra, y tres, y cuatro, y cinco, si
delante le ponen el prefijo “bio”.
En el caso de las bolsas tradicionales, las de polietileno (PE),
se fabrican a partir del etileno, que se sintetiza habitualmente por
craqueo de los productos más ligeros del refinado del petróleo (propano y
butano). Es un proceso relativamente sencillo y de bajo coste, en el
que se aprovechan los subproductos del refinado.
El impacto medioambiental del PE
(bastante más conocido por todos) no reside en su fabricación, sino en
el producto final, que se biodegrada con dificultad, dependiendo de la
densidad de éste, una bolsa puede tardar entre 5 y 10 años en
biodegradarse a la intemperie. Actualmente se está popularizando el uso
de PE oxodegradable,
que contiene sales metálicas (con la problemática que esto acarrea)
capaces de acelerar la degradación de este plástico en meses, y no años.
De modo que la única ventaja
ecológica real es la del PE de alta densidad (PEHD), que sí se recicla
de forma más eficiente y ofrece una mayor durabilidad del producto, con
lo que las bolsas de este material sí son reutilizables, cosa que no podemos decir de las bolsas biodegradables.
Entonces, si no presenta ventajas económicas ni medioambientales ¿por qué se usa?
Señoras y señores, se usa por lo
de siempre, por puro marketing, de este que nos hace hervir la sangre a
los científicos, de este marketing rastrero que se aprovecha de la ignorancia científica generalizada y la induce.
Nos ponen la etiqueta de “bio”,
“natural” o “eco”, y ya creemos que ese producto es bueno, y que los
demás son malos. Y pagamos por esas bolsas 5 ó 6 céntimos sin que nos
duela el bolsillo, creyendo que hacemos algo bueno por el medioambiente.
Pues no, no lo hacemos, en absoluto. Hacemos todo lo contrario: producir un alimento (y a la escala en la que se hace) como materia prima para fabricar bolsas es, como planteamiento, lo contrario a ecológico, ¿no creen?
El sentido de estas campañas de
marketing es vender estas bolsas sin que nadie se queje por su elevado
precio. Algo que antes nos suministraba el establecimiento por comprar
cualquier producto, ahora lo pagamos, y de ello sacan un beneficio del 500% (recordemos que el precio al por mayor ronda el céntimo de euro) haciéndonos sentir muy comprometidos con la causa ecologista.
Pues lo siento mucho, pero yo
pienso seguir yendo a la compra con mi bolsa de tela o con mi bolsa de
polietileno de alta densidad que me regalan en la tienda del barrio con
más de cincuenta usos a sus espaldas (cuando la de fécula resiste un
solo uso y a duras penas), que creo que es la actitud más razonable y coherente frente al problema del abuso de las bolsas: la reutilización.
Así que, publicistas, siento comunicaros que mi bolsa y el uso que hago
de ella sí es “medioambientalmente amigable” y la vuestra es una CACA.
Esta entrada participa en la XIX edición del Carnaval de Química organizado por @scariosHR en el blog de LEET ME Explain
Por dimetilsulfuro




No hay comentarios:
Publicar un comentario